

全国免费客服电话 025-83700868 邮箱:bafanglaicai@126.com
手机:13905181235
电话:025-83700868
地址:南京市鼓楼区三步两桥145号
发布时间:2025-12-27 19:04:51 人气:
97国际-至尊品牌,源于信誉现代科技发展在带来便利的同时也给人类赖以生存的环境造成了巨大的压力,威胁人类健康。溶剂型涂料含有超过50%的挥发性有机物[1],涂料成膜过程中这些物质挥发到空气中造成二次污染。随着人类环保意识的增强,西方传统制造业大国相继出台各国的挥发性有机物(VOC)排放标准。此举使我国涂料行业面临前所未有的机遇与挑战。木器涂料主要应用于家具、地板,直接与人接
触,关乎人民健康,我国对此非常关注,并于2007年开始实施《室内用水性木器涂料》行业标准,尽管每年我国木器涂料市场中仅有少量水性涂料,却展现出很好的发展前景。一是,经过十几年的累积,我国培育出了一些具有较好市场认可度的水性涂料品牌,如广东嘉宝莉、美涂士、展辰等等;二是,我国本身是一个很大的家具消费市场,同时也是家具生产与出口大国。2007年,我国生产家具1.75万件,木质地板36 100万m2,仅木质地板一项涂料需求就达11.2万t;三是,国家的大力推动,中国涂料行业“十二五”规划要求我国“十二五”期间木器涂料水性化达到15%以上。
木器涂料在日常生活中不仅起着装饰和美化作用,而且对木材起着很好的保护作用[1],水性木器涂料的发展经历了漫长的过程:
20世纪40年代,P.Schlack制备出了阳离子水性聚氨酯,标志着水性涂料的开端。
20世纪70年代,随着水性醇酸树脂、阴离子型水性聚氨酯的成功开发,水性丙烯酸-聚氨酯共混体系开始用于木质地板涂料。
1980年,水性丙烯酸-聚氨酯共混体系在瑞典、挪威、丹麦被迅速推广并商品化。
1987年,所有的欧洲国家开始使用水性透明地板涂料,并首次开发出水性聚氨酯-丙烯酸共聚树脂。1989年,水性聚氨酯-丙烯酸共聚树脂在欧洲商品化。
1992年至今,开发出新一代水性树脂无助溶剂体系、非乳化剂体系(非皂化)、自交联树脂体系、双组分体系、水性UV固化树脂体系。
目前木器涂料用水性树脂主要以水性醇酸树脂、水性聚氨酯、水性丙烯酸树脂、水性丙烯酸树脂-聚氨酯杂化体树脂为主;UV固化树脂具有涂膜硬度高、柔韧性好、耐磨性好、光泽高、耐化学性优良、耐黄变等优点,但光源设备投入大,小型工厂难以负担,其广泛应用受到一定限制。
水性木器涂料用树脂按照其组成可分为:(1)水性丙烯酸树脂。包括水溶型、水分散体型和水乳型三大类。乳液型产品根据组成可细分为纯丙乳液、苯丙乳液、叔丙乳液、醋丙乳液、硅丙乳液、氟丙乳液、核壳结构乳液、自交联型乳液等。(2)水性聚氨酯。主要产品有聚酯型和聚醚型、芳香族型和脂肪族型、阴离子型和阳离子型、羧酸盐型和磺酸盐型。(3)水性聚氨酯-丙烯酸树脂杂化体。如芳香族水性聚氨酯-丙烯酸树脂杂化体、脂肪族水性聚氨酯-丙烯酸树脂杂化体等。(4)水性醇酸树脂。(5)光固化水性树脂。可以预见,随着科学技术的不断发展,传统的溶剂型树脂正在逐步地被水性化,新的水性树脂还将不断涌现。另外,涂料用水性树脂可以根据其结构特征和成膜时是否发生交联反应进行分类,分为热塑性树脂和热固性树脂。水性热塑性树脂配制的单组分水性涂料贮存期长,施工方便,成本较低,但是由其形成的热塑性涂膜致密性低,涂膜的耐水性、耐溶剂性、耐磨性较差,可以满足一般产品的涂饰,不适合一些高档产品的涂饰。水性热固性树脂配制的单组分烘漆和双组分室温自干涂料,施工后水性树脂同固化剂通过交联反应形成网络状大分子,这些致密的共价键组合网络可以起到阻碍水、有机溶剂的作用,极大地提高了涂膜物化性能,丰富了水性涂料的产品线。
水性醇酸树脂是在醇酸树脂的大分子链中引入亲水的羧基、羟基等亲水基团,使其能自乳化在水中形成稳定的水乳液。水性醇酸树脂的干燥成膜机理与溶剂型醇酸树脂一样,通过空气中的氧气对双键进行氧化固化交联。醇酸树脂发展早、产量大,并且其原料来自于动植物油改性,不依赖于石油,因此醇酸树脂价格受石油影响小,具有价格方面的优势。此外,醇酸树脂的原料多元醇与多元酸种类多,性能多样,导致醇酸树脂的性能可以在大范围内进行调整,适用面广,通过调节醇和酸官能度之比控制其支化度,通过选择不同分子量的多元醇或者多元酸调整树脂的柔软性,这些性质使醇酸树脂具有很广泛的适应性。水性醇酸树脂相对溶剂型醇酸树脂相对分子质量较小,具有更好的渗透性能、流动性和丰满度,多用于色漆。但是,水性醇酸树脂具有干燥慢、硬度较低、保光性不好等缺点。现在许多公司致力于开发新型催干剂,改善其干性,并用丙烯酸树脂或者聚氨酯等树酯进行杂化乳液改善其保光性。
水性醇酸树脂的合成水性单体是必不可少的,由其引入的水性基团,经中和转变成盐基,提供水溶性,因此,它直接影响树脂的性能。目前比较常用的有:偏苯三酸酐(TMA),聚乙二醇(PEG)或单醚、间苯二甲酸-5-磺酸钠(或其二甲酯、二乙二醇酯等)、二羟甲基丙酸(DMPA)等。有关结构式见图1。

水性醇酸树脂的合成及使用过程中,为降低体系黏度和贮存稳定性常加入一些助溶剂,主要有乙二醇单丁醚、丙二醇单丁醚、丙二醇甲醚醋酸酯、异丙醇、异丁醇、仲丁醇等。其中乙二醇单丁醚具有很好的助溶性,但近年来发现其存在一定的毒性,可选用丙二醇单丁醚取代。
(1)缩聚即先将PA、IPA、脂肪酸、TMP进行共缩聚生成一定油度、预定分子量的醇酸树脂。
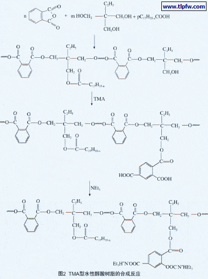
(2)水性化即利用TMA上活性大的酐基与上述树脂结构上的羟基进一步酯化开环引入羧基,控制好反应程度,一个TMA分子可以引入2个羧基,此羧基经中和以实现水性化。其合成反应见图2。

其中,n、m、p为正整数。该法的特点是TMA水性化效率高,油度调整范围大,可以从短油到长油随意设计。
DMPA是一种很好的水性单体,其羧基处于其他基团的保护之中,一般条件下不参与缩聚反应,可广泛用于水性聚氨酯、水性聚酯、水性醇酸树脂的合成。该法的缺点是由于DMPA作二元醇使用,树脂的油度不易提高,一般用于合成中、短油度树脂。其水性醇酸树脂的结构式见图3。

利用马来酸酐与醇酸树脂的不饱和脂肪酸发生Diels—Alder反应即马来酸酐与不饱和脂肪酸的共轭双键发生1,4加成反应,也可以引入水性化的羧基。其结构式见图4。

非共轭型不饱和脂肪酸,加成反应主要是不饱和脂肪酸双键的位。见图5。

一些公司推出了一些特殊乳化剂专门用于溶剂型醇酸树脂的乳化。一般在施工时可以加入20%左右的水以方便施工,降低VOC。
丙烯酸酯单体能与醇酸树脂含有的双键和共轭双键进行自由基共聚。杂化时可以将醇酸树脂设计成水性链段,也可以将丙烯酸树脂部分设计为水性链段。共聚反应包括:在溶剂或引发剂存在下:①丙烯酸类单体与醇酸树脂中的共轭双键按1, 4或1, 2加成,发生共聚反应,生成Diels-Alder产物;②丙烯酸类单体和非共轭的不饱和双键发生共聚反应,共聚体是由过氧化物引发剂先引发脂肪酸链上的活性亚甲基,继而在脂肪酸链上增长聚丙烯酸链;③丙烯酸类单体本身的自聚形成聚丙烯酸酯共聚物。反应过程中均聚物生成速率过大,会影响接枝共聚速率,难以获得透明的产品。共聚法合成的丙烯酸酯改性醇酸树脂与未改性醇酸树脂相比,颜色较浅,不仅因为丙烯酸树脂冲淡了醇酸树脂本身的颜色,而且丙烯酸酯与醇酸树脂发生共聚反应减少了体系的不饱和程度,降低了树脂的碘值。而且,改性树脂涂膜的耐水性、耐碱性、耐久性、耐候性、干率和硬度均有较大提高。但共聚物体系中通常残留有未反应的单体,使体系贮存稳定性变差。另外,丙烯酸改性的醇酸树脂共聚物体系组分不均匀,导致树脂的耐溶剂性下降,重涂时易产生咬底,与其他树脂的相容性、对颜填料的润湿性都较差。因此,要通过调整工艺和配方、改变引发剂种类、添加链转移剂等方法在一定程度上克服这些问题。也可以用酯化法进行改性,即先制备相对分子质量较小的聚丙烯酸酯,它们含有羟基、羧基、环氧基,可以与醇酸树脂上的羧基或羟基进行酯化反应。有时采用乳液聚合法合成丙烯酸改性醇酸树脂乳液,这种乳液具有比丙烯酸乳液更低的最低成膜温度,而且不需要助溶剂就能形成良好的涂膜,其涂膜性能优于丙烯酸乳液。
即用水性醇酸树脂作为聚酯二醇和亲水链段,进行水性聚氨酯的合成。水性醇酸树脂可以是羧基型或磺酸盐型,分子量在500~2 000,合成的产品称为水性聚氨酯油或油改性水性聚氨酯。为了实现氧化交联的活性,油脂或脂肪酸可选择干性或半干性油(或脂肪酸)。由于脂肪酸链段的引入,该类水性聚氨酯的涂膜性能性价比很高。
水性丙烯酸乳液由丙烯酸酯单体为主的乙烯基单体经乳液聚合而成。聚合过程中添加了乳化剂、稳定剂、pH值调节剂等各种助剂,体系相当复杂。水性丙烯酸乳液制成的涂膜有良好的耐候性,不易黄变,硬度高,光泽好,已在涂料行业的各个领域得到了广泛应用,已成为水性涂料应用的生力军,广泛用于水性木器涂料、水性塑胶涂料和水性金属涂料。近年来,随着乳液聚合技术的不断发展,无皂乳液聚合技术、自交联技术、高分子表面活性剂的应用及核壳聚合等技术进一步改进和提高了水性丙烯酸乳液的性能,使得水性丙烯酸乳液可以适应不同施工和使用条件的需要,用武之地得到不断扩大。现在,水性丙烯酸乳液的应用已扩展到性能要求更高的工业用途领域。由于多种因素的限制,国内的水性丙烯酸乳液技术还处在20世纪80年代的水平,使水性涂料包括水性木器涂料、水性金属涂料和水性塑胶涂料的发展得到了一定限制。水性丙烯酸酯树脂的改性有以下几种:
由于叔碳酸乙烯酯上有3个支链,1个甲基,至少还有1个大于C4的长链,因此空间位阻特别大,不仅自身单元难以水解,而且对于共聚物大分子链上邻近单元也有很强的屏蔽作用,使整体抗水解性、耐碱性得到很大的改善。同时,正是由于此屏蔽作用,使叔碳酸乙烯酯共聚物涂膜具有很好的抗氧化性及耐紫外线性能。需要注意的是同醋酸乙烯酯类似,叔碳酸乙烯酯同ST的共聚活性较差,不易共聚。为提高耐乙醇性要引入苯乙烯、丙烯腈及甲基丙烯酸的高级烷基酯,降低酯基含量,可以考虑二者并用,以平衡耐候性和耐乙醇性。甲基丙烯酸的高级烷基酯有甲基丙烯酸月桂酯、甲基丙烯酸十八醇酯等,这些单体主要依靠进口。
将乙烯基硅氧烷单体共聚入丙烯酸酯大分子主链,经硅氧烷的水解、硅羟基缩合实现大分子链的交联,可以提高耐水性、耐候性、抗粘连性和对无机基材的附着力。为使聚合稳定进行,乙烯基硅氧烷用量一般小于5%,乙烯基三异丙氧基硅烷由于异丙基的空间位阻效应,水解活性较低,可以用来合成高硅单体含量(10%)的硅丙乳液,而且可以同单体预先混合,这样也有利于大分子链中硅单元的均匀分布。硅丙乳液主要用于乳胶漆基料。乳液聚合单体中,双丙酮丙烯酰胺(DAAM)、甲基丙烯酸乙酰乙酸乙酯(AAEM)分别需要同聚合终了外加的己二酰二肼、己二胺复合使用,水分挥发后可以在大分子链间架桥形成交联膜。
环氧树脂通常用于水可稀释丙烯酸酯树脂的改性,环氧树脂一般进入底料进行接枝,所得树脂为接枝物、丙烯酸酯共聚物和环氧树脂共存,环氧树脂的引入可显著提高氨基烘漆对玻璃、金属等基材的附着力及涂膜耐水性。详见水性环氧树脂的改性部分内容。环氧树脂也可以溶入单体液中,对乳液进行改性。
丙烯酸乳液可以设计成羟基型结构,氨基树脂、水性多异氰酸酯等固化剂可以同其反应交联;其上的羧基基团也可以同带有环氧基的有机硅偶联剂实现交联。但羟基型乳液的羟值不能做得太高,否则由于氢键作用黏度增加较大。二级丙烯酸分散体由于酸值低,羟值可以很高,完全可以达到溶剂型丙烯酸树脂的水平,问题是水性固化剂的用量太大,推高了原料成本。
核-壳型乳液聚合可以认为是种子乳液聚合的发展。乳胶粒可分为均匀粒子和不均匀粒子两大类。其中不均匀粒子又可分为两类:成分不均匀粒子和结构不均匀粒子。前者指大分子链的组成不同,可能无明显相界面,后者粒子内部的聚合物出现明显的相分离,按其相数进一步分为两相结构和多相结构。核壳结构是最常见的两相结构。如果种子乳液聚合第二阶段加入的单体同制备种子乳液的配方不同,且对核层聚合物溶解性较差,就可以形成具有复合结构的乳胶粒,即核-壳型乳胶粒,从而赋予核-壳各不相同的功能。如把乳胶粒做成硬核软壳型,可以实现硬度和成膜性的平衡。
经典的乳液聚合配方中,乳化剂是必不可少的组分,用量一般占单体的1%(质量分数),其中阴离子型乳化剂对成核和稳定乳液起着尤为重要的作用。但是,乳液成膜后这些助剂将继续残存在涂膜中,对涂膜光泽、耐水性、电化学性质造成不利影响。无皂乳液聚合就是为了克服常规乳化剂的弊端开发出来的新型乳液聚合工艺,其胶粒分布均一、表面洁净,具有优异的性能。无皂乳液聚合即无乳化剂聚合,在其聚合过程中,完全不加常规的乳化剂或仅加入极少量的乳化剂。为了提高无皂乳液聚合产品的固含量及贮存稳定性,在聚合配方中可以加入一些表面活性单体,如乙烯基磺酸钠、AMPS(2-丙烯酰胺-2-甲基丙烯磺酸钠盐)、COPS-1(烯丙氧基羟丙基磺酸钠)等。
在乳液聚合的基本配方中加入保护胶,所得乳液往往具有很好的性能,可以极大降低成膜助剂的用量,且成膜质量好,光泽高,在低气味乳液和木器涂料乳液合成领域应得到足够重视。所用保护胶可以自制也可以从市售水性树脂中筛选,若选择恰当并不会影响耐水性。
丙烯酸树脂二级分散体也属于水可稀释型树脂,但其酸值不高于20 mgKOH/g(树脂),而羟值较高100 mgKOH/g(树脂);另外,其有机溶剂含量较低,VOC一般小于200 g/L。二级分散体可以与水性氨基树脂、封闭型水性多异氰酸酯配制单组分烘漆,也可以与水性多异氰酸酯配制室温固化水性 2K PU,其羟值是需要控制的一个重要指标。
聚氨酯(PU)合成单体品种多,反应条件温和、专一、可控,配方调整余地大且其高分子材料存在微观相分离的特点,可广泛用于涂料、黏合剂、泡沫塑料、合成纤维以及弹性体,已成为人们衣、食、住、行以及高新技术领域必不可少的高分子合成材料之一,其本身已经构成了一个多品种、多系列的材料家族,形成了完整的聚氨酯工业体系,是综合性能优秀的合成树脂之一。水性聚氨酯乳液是经水溶胀的聚氨酯粒子分散在水中形成的乳状液体,聚氨酯树脂的水性化主要是通过在聚氨酯大分子链上引入亲水性的羧基、磺酸盐等亲水基团,使聚氨酯粒子具有自乳化能力,依据亲水单体用量的由高到低,水性聚氨酯外观呈现由蓝色透明至乳白的系列变化。水性聚氨酯分散体是单组分,无游离的异氰酸酯,无毒,可以室温成膜,粒径通常在30~80 nm范围内,较丙烯酸乳液粒径要小。根据不同工艺和配方可以得到一系列不同外观和固体分含量的水性聚氨酯产品。自乳化方法得到的水性聚氨酯乳液比较稳定,黏度较低,可以直接加水稀释,施工方便;聚氨酯大分子链分为软段和硬段,通过调整软硬段比例和种类可以得到一系列不同硬度和极性的聚氨酯产品,使聚氨酯对各种素材表面有良好的附着性。聚氨酯本身软而不黏,手感光滑细腻,并且硬段使用脂肪族二异氰酸酯解决了其黄变问题,具有很好的抗老化性。高级水性聚氨酯透明涂料及色漆,色彩丰富,涂膜丰满,光泽持久,具有很强的装饰性,涂膜坚韧硬度高,具有高度的耐耗性及耐撞击性,并且涂膜受热不会软化,耐热点极高,鲜映度持续性都很优良。是目前水可稀释的最现代化、性能优异的环保型木器涂料。目前水性聚氨酯的合成主要采用丙酮法和预聚体分散法,与溶剂型聚氨酯相比其合成过程中需要加水高速搅拌乳化分散和除溶剂过程,由于工艺相对复杂,成本较高,一般只作高档家具、地板涂料。
水性聚氨酯原料繁多,配方多变,制备工艺也各不相同,为方便研究、应用,常对其进行适当分类。
其中阴离子型产品产量最大、应用最广。阴离子型水性聚氨酯又可分为羧酸型和磺酸型两大类。近年来,非离子型水性聚氨酯在大分子表面活性剂、缔合型增稠剂方面的研究越来越多。阳离子型水性聚氨酯渗透性好,具有抗菌、防霉性能,主要用于皮革涂饰剂。
(2)芳香族、脂肪族、芳脂族和脂环族,或具体分为TDI型、IPDI型、MDI型及其混合型,等等。
芳香族水性聚氨酯同溶剂型聚氨酯类似具有明显的黄变性,耐候性较差,属于低端普及型产品。脂肪族水性聚氨酯则具有很好的保色性,耐候性,但价格高,属于高端产品;芳脂族和脂环族的性能居于二者之间。
低聚物多元醇(polyol)主要包括聚醚型、聚酯型两大类,聚合物醇构成聚氨酯的软段,分子量通常在500~3 000。聚醚多元醇主要由环氧乙烷、环氧丙烷、四氢呋喃单体的开环聚合合成。
聚酯型多元醇品种无限。比较常用的有:聚己二酸乙二醇酯二醇、聚己二酸-1,4-丁二醇酯二醇、聚己二酸己二醇酯二醇等;由新戊二醇(NPG)、2,2,4-三甲基-1,3-戊二醇(TMPD)、2-乙基-2-丁基-1,3-丙二醇(BEPD)、1,4-环己烷二甲醇(1,4-CHDM)、己二酸(adipic acid)、1,4-环己烷二甲酸(1,4-CHDA)、壬二酸衍生的聚酯二醇耐水解性大大提高;此外,聚己内酯二醇(PCL)、聚碳酸酯二醇也可以用于聚氨酯的合成,但价格较高。由新戊二醇(NPG)、2,2,4-三甲基-1,3-戊二醇(TMPD)、2-乙基-2-丁基-1,3-丙二醇(BEPD)、1,4-环己烷二甲醇(1,4-CHDM)、己二酸(adipic acid)、1,4-环己烷二甲酸(1,4-CHDA)、壬二酸(AZA)衍生的聚酯二醇耐水解性大大提高;此外,聚己内酯二醇(PCL)、聚碳酸酯二醇、二聚酸酯二醇也可以用于聚氨酯的合成,但价格较高。
为了调节大分子链的软、硬链段比例,同时也为了调节分子量,在聚氨酯合成中常使用一些小分子扩链剂。扩链剂主要是二或多官能度的醇类。如乙二醇、一缩二乙二醇(二甘醇)、1,2-丙二醇、一缩二丙二醇、新戊二醇、1,4-丁二醇(BDO)、1,6-己二醇(HD)、1,4-环己烷二甲醇、三羟甲基丙烷(TMP)或蓖麻油,其中BDO最常用,性能比较平衡。加入少量的三羟甲基丙烷(TMP,羟基官能度3)或蓖麻油(官能度2.7)可在大分子链上引入适量分支,以有效地改善力学性能,但其用量不能太多,否则预聚阶段黏度太大,极易凝胶,一般加1%(质量分数)左右,因为蓖麻油分子量较大(932,羟基平均官能度2.7),其用量在4%~10%。
亲水单体是水性聚氨酯制备中使用的水性化扩链剂,它在水性聚氨酯大分子主链上引入亲水基团。阴离子型水性扩链剂一般带有羧基或磺酸基。常用的产品有:二羟甲基丙酸(dimethylolpropionic acid,DMPA)、二羟甲基丁酸(dimethylolbutanoic acid,DMBA)。磺酸盐基水性单体有胺乙基磺酸钠(N-60)、胺多乙烯基磺酸钠(A-95);二羟基型磺酸盐型单体在有机溶剂中的溶解性很差,很难直接在预聚阶段参与聚合,应将其嵌入聚酯中以水性聚酯大单体的形式应用;如将1,3-间苯二甲酸-5-磺酸钠(SIPA) 或1,3-间苯二甲酸二甲酯-5-磺酸钠(SIPM)嵌入聚酯二元醇中可以作为水性聚酯大单体使用。磺酸盐型水性聚氨酯预聚体无需中和;若软段含磺酸盐基工艺同羧基型基本相同;当采用二胺基型磺酸盐水性单体时应在预聚后再用二胺基磺酸盐进行扩链,然后再加水分散。因为扩链后的大分子分子量已足够大,因此进水前要用大量溶剂稀释,溶剂的脱除负荷也较大。这是其工艺的特点之一。阳离子型扩链剂有N-甲基二乙醇胺(MDEA)、二乙醇胺、三乙醇胺、N-乙基二乙醇胺(EDEA)、N-丙基二乙醇胺(PDEA)、N-丁基二乙醇胺(BDEA)、二甲基乙醇胺、双(2-羟乙基)苯胺(BHBA)、双(2-羟丙基)苯胺(BHPA)等,大多数采用N-甲基二乙醇胺(MDEA)。非离子型水性聚氨酯的水性单体主要选用聚乙二醇,数均相对分子质量通常大于1 000。
如前所述,水性聚氨酯的合成关键在于预聚体的合成,即选择何种单体、何种单体配比及何种分子量合成的预聚体结构对水性聚氨酯的性能起决定作用。如何选择单体及其组成取决于经验,分子量的控制也非常重要。对线性水性聚氨酯预聚体通常用物质的量系数即非过量与过量官能团的比(ra)计算聚合度,进而控制分子量。对分枝型水性聚氨酯预聚体可以用平均官能度法进行分子量控制,平均官能度应小于2。
水性聚氨酯的合成早期采用强制乳化法。现在,主要采用内乳化法。该法利用水性单体在聚氨酯大分子链上引入亲水的离子化基团或亲水嵌段:

其中的二异氰酸酯属于芳香族,水分散时也起扩链作用;脂肪族二异氰酸酯水分散后应加入活性大的二元胺才能对预聚体有效扩链,以生成高分子量WPU。
(1)由低聚物二元醇、小分子二元醇、DMPA和二异氰酸酯聚氨酯化合成低分子量的PU预聚体;
磺酸盐型水性聚氨酯无需中和;若软段含磺酸盐基工艺同羧基型;当采用小分子磺酸盐水性单体时工艺应调整为先将预聚体用磺酸盐单体扩链,然后再加水分散、扩链。
通常采用以下方法:①在合成预聚物时,引入适量的多官能度(通常为三官能度)多元醇或多异氰酸酯,常用的物质为TMP、CO(蓖麻油)、聚酯三元醇、聚醚三元醇和HDI三聚体、IPDI三聚体等。②用适量多元胺进行扩链。常用的多元胺为二乙烯三胺、三乙烯四胺等。③同时采用①和②两种方法。内交联改性使形成大分子分枝或微交联结构,但改性要适中,分枝太少,改性效果不明显;太多则极易凝胶化或难以分散。
自交联法是指在水性聚氨酯成膜后,能自动进行化学反应实现交联,提高涂膜的致密度,改善涂膜性能。如可在大分子链上引入烷氧基硅单元[A-1100:NH2CH2CH2CH2Si(OC2H5)3;A-1120:NH2CH2CH2NHCH2CH2CH2Si(OCH3)3],烷氧基硅经水解及成膜后的缩合反应形成交联网络。该法应用较广。
采用自乳化法制备的阴离子型水性聚氨酯成膜后仍含有大量的羧基,对涂膜耐水性产生不利影响。同溶剂型双组分PU一样,水性聚氨酯在施工时可添加外交联剂,利用羧基、羟基和外交联剂可反应基团的反应,消除涂膜的亲水基团,以大幅度提高涂膜的耐水性,同时对涂膜的力学性能也有一定改善。常用的交联剂有环氧基硅氧烷、多氮丙啶、水可分散多异氰酸酯、碳化二亚胺以及氨基树脂等。
有机硅氧烷偶联剂是一类具有特殊结构的低分子有机硅化合物,其通式为Y—RSiX3,式中Y代表氨基、巯基、乙烯基、环氧基等有机基团,这些基团和不同的基体树脂均具有较强的反应能力,X代表能够水解的烷氧基。有机硅氧烷分子中同时存在有机和无机的两亲结构,这种特殊的分子结构使它集有机物与无机物的特性功能于一身,可赋予被改性材料优良的耐热性、耐水性、耐化学品性、耐候性、透气性、生理惰性等性能。其中环氧基有机硅氧烷偶联剂比较常用。在施工时,加入含有环氧基的硅氧烷,利用环氧基与羧基的开环及其烷氧基水解形成硅醇的进一步缩合可以实现交联,提高涂膜的交联密度。
(2)多氮丙啶(polyaziridine)的交联氮丙啶类化合物能与羧基、羟基等反应,在酸性环境中还可自聚,但在碱性环境中相当稳定。配成双组分体系,使用时进行混合。其交联膜的耐水性、耐化学品性、抗回黏性以及对底材的附着力都有明显改善,若给予烘烤,性能更佳。加有该类交联剂的涂料室温下应该在24 h内用完,以免发生水解,丧失活性。DSM公司产品Crosslinker CX-100为多氮丙啶类交联剂。
缩二脲、三聚体是溶剂型聚氨酯涂料常用的固化剂,水性体系中不易分散,不能直接用于水性双组分聚氨酯涂料。为了提高其水中的分散性,常采用亲水组分对其进行改性,适合的亲水组分有离子型或非离子型或二者混合型,这些亲水组分与多异氰酸酯具有良好的相容性,作为内乳化剂有助于固化剂分散在水相中。其缺点在于亲水改性消耗了固化剂的部分—NCO,降低了固化剂的官能度。新一代改性的水性固化剂必须降低亲水改性剂的用量。偏四甲基苯基二异氰酸酯与三经甲基丙烷的加成物,其—NCO为叔碳原子上的—NCO,反应活性较低,与水反应的速度非常慢,用该固化剂配制的双组分涂料,—NCO与水发生副反应的程度非常小,可制备无气泡涂膜,但其玻璃化温度高,需玻璃化温度较低和乳化能力较强的聚多元醇与其配制双组分涂料。配漆时n(—NCO)/n(—OH)常取(1.2~1.5)∶1。Bayhydur 304、305、2451、2487/1用作水性双组分聚氨酯涂料体系的固化剂组分。以上固化剂均为基于六亚甲基二异氰酸酯(HDI)的亲水性脂肪族多异氰酸酯。
柏斯托公司的Easaqua WT 2102、X M 501、X M502、X D 401和X D 803也是亲水改性的多异氰酸酯,可在水中自乳化,具有较佳相容性、快干性及高光泽、低气味、低黏度等特性,适用作水性2K PU涂料的交联剂,可应用于木器涂料、柔感塑胶涂料、一般工业领域的金属涂料、混凝土涂料、汽车修补涂料及交通运输与农业设备涂料。其中,WT 2102为第一代产品,含有聚氧乙烯烷基苯酚醚(APE0)衍生物;X M501 和 X M 502为基于HDI的衍生物,具有极佳的混合性、相容性,不含APEO;X D 401 and X D 803是基于HDI和IPDI衍生物的混合型多异氰酸酯,具有极佳的干燥性能,可提供高光泽和抗黏连性。
聚碳化二亚胺是分子中含有多个—N=C=N—累积双键结构的化合物,其化学性能活泼,能与羟基、羧基、氨基等基团反应,形成交联。它与水反应却较慢,正是利用碳化二亚胺与水反应较慢而能与多种活性氢化合物反应的特点,可作为水性聚氨酯分散体的交联剂使用。添加5%~10%于丙烯酸酯乳液或聚氨酯分散液中,室温下即可进行交联反应,显著提高耐水、耐化学品、耐磨耗性能,适用期较长,同时可以提高附着力。
水性聚氨酯-聚丙烯酸酯杂化体(polyurethane/acrylic hybrids)综合了聚氨酯材料和聚丙烯酸酯的优点。聚氨酯与聚丙烯酸酯的化学合成制成的水性分散体既有聚丙烯酸酯的高硬度、高光泽,良好的耐候性、快干性和通用性,又有聚氨酯的柔韧性、低温成膜性、耐磨性和良好的耐化学品性。与聚氨酯与聚丙烯酸酯的掺混物相比,聚氨酯/聚丙烯酸酯杂化体更加优异,主要表现在配漆更稳定、低温成膜性更优、不返黏、硬度高、柔韧性好、附着力好等。水性聚氨酯具有很好的耐低温性、弹性和耐有机溶剂等特性。但是,单一的PU乳液固含量低,自增稠性差,涂膜的光泽性、耐水性和耐黄变性较差。丙烯酸树酯(PA)具有机械强度高、耐老化、耐黄变、耐水性好等优点,但存在耐有机溶剂性、耐热性、柔韧性、耐寒性、耐磨性差等缺点,尽管工业化时间长,各自推出产品较早,但是单独使用在产品性能价格方面仍有不足。聚氨酯(PU)-丙烯酸(PA)杂化体乳液兼具二者优点,涂膜综合机械性能和外观都得到改善,且具有更低的成本。PU-PA杂化体乳液常采用物理共混法和合成聚合物乳液的方法 [1]。合成聚合物乳液的方法,根据合成方法的不同主要分为核壳乳液聚合法、互穿网络聚合物法、无皂乳液聚合法等。
最早制备PU-PA杂化乳液的方法是物理共混法,其制备方法是把制备好的PU乳液和PA乳液在外力作用下进行物理混合,这种混合乳液在一定程度上具有PU乳液和PA乳液的性能优点,但共混乳液必须充分混合,乳液体系离子类型必须匹配,否则乳胶粒子间会发生聚合并沉淀,破坏乳液稳定性。混合乳液比例对共混乳液性能影响很大,物理共混在水相中和涂膜中存在PU和PA的两相区,随着PA树脂用量的增加,其涂膜的耐磨性和耐冲击性会线 核壳乳液聚合法
核壳乳液的聚合方法是,预先制备含有亲水单体的水性PU,让其作为合成PA乳液的乳化剂(根据PU乳化性能强弱适当添加或者不加乳化剂),加入丙烯酸酯单体和引发剂进行乳液聚合。在相同PU、PA原料配比的情况下,相比共混体系核壳乳液可以大大提高树脂的耐候、耐水、耐磨和透明性能。核壳法制备PU-PA杂化乳液PU为核PA为壳,在明显提高涂膜耐水性、耐溶剂性、耐候性的同时降低成本提高其综合性能,是制备PU-PA杂化乳液的重要途径。
互穿网络聚合物法(IPN),是用化学方法将两种或多种(交联)聚合物相互贯穿而形成的交织网络聚合物,它是聚合物共混与复合的重要手段。通过IPN技术PU与PA在材料内部各自形成微相区,微相区相界面上存在着广泛的物理交联。由于微相区和广泛交联的存在,使IPN聚合物的综合性能与共混聚合物相比在耐水性、耐溶剂性、硬度等方面有明显提高。引入氟单体,可进一步提高树脂性能(如耐高温、耐水性、耐候性、透气性等)。引入DAAM(同ADH结合)、AAEM(同多元胺结合)和乙烯基硅氧烷也可实现自交联。工艺上常用乳液聚合法,也可以使用转相法。改性效果同水性聚氨酯的性能关系很大。
木器涂料用水性紫外光固化树脂是以水作为稀释剂,避免了传统UV固化树脂采用活性稀释剂调节流变,造成涂料具有强烈的刺激性气味,并对后面涂膜物理性能造成不良影响。水性UV固化树脂除了引入可光聚合的不饱和基团,如乙烯基、丙烯酰氧基、甲基丙烯酰氧基等,还引入了如羧基、羟基、氨基、季胺基、醚基、酰胺基等,然后通过进水中和分散制得。按照树脂化学结构及组成,目前水性光固化树脂可分为环氧丙烯酸酯(EA)、聚氨酯丙烯酸酯(PUA)、聚酯丙烯酸酯(PEA)、丙烯酸酯化聚丙烯酸酯等。水性光固化树脂依据分散形态也分为乳液型、水分散体型和水溶液型3类。水性低聚物制备时大多在溶剂型低聚物中引入亲水基团,如羧酸盐基、磺酸盐基、季铵盐基、聚乙二醇链段等,将溶剂型低聚物改性,实现水性化,可以根据树脂主链结构特征将水性低聚物分为6种。
不饱和聚酯是最早应用在紫外光涂料中的基体树脂。1968年德国拜耳公司最先成功开发出一种溶剂型不饱和聚酯,由这种树脂开发出的光固化涂料可以应用在木器和竹器上。随着水性化的发展,已经将水性不饱和聚酯应用于水性光固化涂料中。水性的不饱和聚酯一般由带有双键的溶剂型不饱和聚酯改性而来。采用新戊二醇、环己烷二甲醇、(六氢)邻苯二甲酸酐及二羟甲基丙酸反应,可以制备耐老化性能优异的水性不饱和光敏聚酯。不饱和聚酯分子中的光敏基团可以由带有双键的酸、酸酐或醇引入,也可以由饱和聚酯中的羟基与丙烯酸酯化得到聚酯丙烯酸酯。由二羟甲基丙酸、二元酸,二元醇、顺丁烯二酸酐合成的光固化不饱和水性聚酯的反应如图7。

聚酯丙烯酸酯中的聚酯是饱和聚酯,它主要是利用偏苯三甲酸酐或均苯四甲酸酐与二元醇反应,制得带有羧基的端羟基聚酯,再与丙烯酸反应,得到带羧基的聚酯丙烯酸树脂,经氨或有机胺中和成羧酸铵盐,成为水性聚酯丙烯酸低聚物,反应如图8。

用偏苯三甲酸酐或均苯四甲酸二酐与二元醇反应,制得带有羧基的端羟基聚酯,再与丙烯酸反应,得到带羧基的聚酯丙烯酸酯,最后用有机胺中和成羧酸铵盐,成为水性聚酯丙烯酸酯。水性聚酯丙烯酸酯价廉、易制备、涂膜丰满、光泽度好。
聚醚丙烯酸酯可以由聚醚的羟基与丙烯酸酯化而得。聚醚又称聚醚多元醇,它是以环氧乙烷、环氧丙烷、环氧丁烷为原料,在催化剂作用下开环均聚或共聚制得的线型或分支型低聚物。调整聚醚分子中聚乙二醇链段的比例可得到在水中不同溶解度的聚醚。聚醚的水溶性随分子量降低和末端羟基比例的升高而增强。因此,制备水溶性的聚醚丙烯酸酯必须选用低分子量聚醚。因为醚键对酸较为敏感,尤其在加热状态,故不宜直接用丙烯酸酯化,可以将聚醚和过量的丙烯酸乙酯进行酯交换制备。然后通过乙醇与丙烯酸乙酯形成低共沸物,将乙醇和多余的丙烯酸乙酯除去,反应如图9。

丙烯酸酯化聚丙烯酸酯具有价廉、易制备、涂膜丰满、光泽度好等优点。多数用(甲基)丙烯酸、(甲基)丙烯酸系单体与(甲基)丙烯酸羟乙酯或(甲基)丙烯酸缩水甘油酯共聚制备带有羟基或环氧基的预聚体。其中由丙烯酸引入亲水性的羧基,而由预聚体侧链的羟基、羧基、氨基或环氧基与丙烯酸单体作用引入丙烯酰基团,制得丙烯酸酯化的水性聚丙烯酸树脂。反应如图10。

水性聚氨酯大分子主链是由玻璃化温度低于室温的柔性链段(软段)和玻璃化温度高于室温的刚性链段(硬段)嵌段而成,同时将亲水单元嵌于大分子的主链上,赋予其水可分散性。软段赋予成膜物柔软性和弹性,硬段赋予成膜物力学强度。软段分子间作用力大,内聚力强,机械强度高。软段常为低聚物多元醇(如聚醚或聚酯多元醇),硬段由多异氰酸酯或其与小分子扩链剂组成。由于其特殊的结构,具有强度高、耐磨、耐油等特点。由于其优异性能,光敏性水性聚氨酯树脂也是在水性光固化树脂中应用最广的一种基体树脂。
水性聚氨酯丙烯酸酯在国外应用最多的领域是纸张上光油。其合成是将多异氰酸酯、多元醇(三羟甲基丙烷、烷基二醇、聚醚二醇、聚酯二醇等)与带有水性基团的二醇(二羟甲基丙酸、二羟基磺酸盐、聚乙二醇等)反应,制备含—NCO基团的预聚体,再将带有乙烯基或烯丙基的醇(丙烯酸羟乙酯、季戊四醇三丙烯酸酯)作为封端剂引入大分子中。其中带水性基团的二醇赋予大分子的水可分散性,而乙烯基或烯丙基的醇赋予大分子光敏性,反应如图11由二异氰酸酯-丙烯酸羟乙酯半加成物与部分酸酐化的环氧丙烯酸酯反应,可制得既有环氧丙烯酸酯结构又有聚氨酯丙烯酸酯结构的水性低聚物。反应如图12。


水性聚氨酯丙烯酸酯具有优良的柔韧性、耐磨性、耐化学性,有高抗冲击和拉伸强度。水性聚氨酯丙烯酸酯可分为芳香型和脂肪型两类。芳香族的硬度好,耐黄变性差,主要用于室内制品,而脂肪族的有优异耐黄变性和柔韧性,但价格较贵。
水性环氧光固化涂料既具有溶剂型环氧涂料良好的耐化学品性、附着性、物理机械性能、电气绝缘性能,又有低污染、施工简便、价格便宜等特点。其合成是利用环氧树脂中的环氧基与丙烯酸中的羧基开环酯化引入光敏基团,环氧树脂中的羟基与含双键的酸或酸酐(马来酸、偏苯三酸酐、马来酸酐等)反应同时引入光敏性基团和羧基。反应如图13。


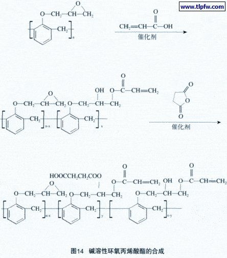
用丙烯酸与酚醛环氧树脂的部分环氧基反应,然后利用产物中的羟基与琥珀酸酐反应,也可合成碱溶性的环氧丙烯酸酯。反应如图14。

该产物既含有环氧基,又含有丙烯酰氧基,还含有羧基,因而既具有碱溶性,又具有光固化特性。以上6种水性光敏树脂,结构不同,性能各异,可以根据性能需要进行选择,必要时可以采取共混法,使其优势互补,得到不同性能的涂层。
绿色环保已是当今世界的发展主题,经过十几年的积累,中国各地研究院在水性树脂研发方面已取得很多成果,除了节能、环保之外,其性能已基本能够满足应用需要,再加上我国巨大的木器涂料市场,显然中国水性涂料企业具备这个得天独厚的先天优势,我们应该抓住这个发展机遇,进一步加大水性木器涂料的研发和市场推广,改变人们一直认为水性涂料价格高、性能不如溶剂型涂料的观念,宣传绿色环保的家装生活方式。
相关推荐